近期,角球比分app
在半导体器件低温特性的表征领域取得重要进展,研究成果“Source-drain contact impacts on electrical performances and low frequency noise of InZnO thin-film transistors down to 7 K[1]”在电子器件领域权威期刊Applied Physics Letters上发表。角球比分app
青年教师陈雅怡博士为该论文第一作者,刘远教授及钟伟副教授为论文通讯作者。
非晶态金属氧化物薄膜晶体管因其高透明性和良好的电学性能,已成为图像传感器中的关键元器件。然而,在一些特殊应用中,如粒子对撞机、天文学和对地观测等,图像传感器需要在超低温下工作。因此,为了保证图像传感器在超低温环境中的正常运行,有必要表征并研究金属氧化物薄膜晶体管的低温特性。
陈雅怡博士基于低频噪声表征技术,首次报道了7k-300k温度范围内,铟锌氧化物薄膜晶体管源漏接触电阻对器件电学特性与低频噪声特性的影响。该项工作分析了器件有源层与源漏电极内部载流子输运模式随环境温度的变化情况,进而阐明源漏接触电阻影响器件低温特性的物理机制。这为低温集成电路中元器件电极材料的选型提供参考与指导。

图1 薄膜晶体管器件结构及测试系统

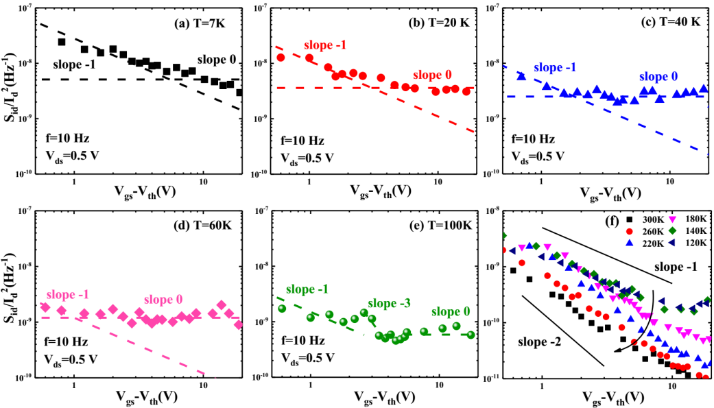
图2 薄膜晶体管在不同温度下的低频噪声特性
[1] Chen Y. Y., Liu X. J., Liu Y., et al. Source–drain contact impacts on electrical performances and low frequency noise of InZnO thin-film transistors down to 7 K. Appl. Phys. Lett. 2024, 124(17): 173507. DOI: 10.1063/5.0204316.